Payne effect

The Payne effect is a particular feature of the stress–strain behaviour of rubber,[1] especially rubber compounds containing fillers such as carbon black.[2] It is named after the British rubber scientist A. R. Payne, who made extensive studies of the effect (e.g., Payne 1962). The effect is sometimes also known as the Fletcher-Gent effect, after the authors of the first study of the phenomenon (Fletcher & Gent 1953).[3]
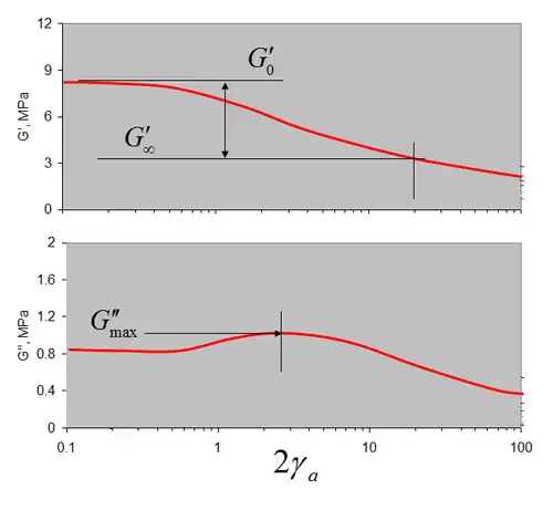
The effect is observed under cyclic loading conditions with small strain amplitudes, and is manifest as a dependence of the viscoelastic storage modulus on the amplitude of the applied strain. Above approximately 0.1% strain amplitude, the storage modulus decreases rapidly with increasing amplitude. At sufficiently large strain amplitudes (roughly 20%), the storage modulus approaches a lower bound. In that region where the storage modulus decreases the loss modulus shows a maximum. The Payne effect depends on the filler content of the material and vanishes for unfilled elastomers.
Physically, the Payne effect can be attributed to deformation-induced changes in the material's microstructure,[4] i.e., to breakage and recovery of weak physical bonds linking adjacent filler clusters.[5] Since the Payne effect is essential for the frequency and amplitude-dependent dynamic stiffness and damping behaviour of rubber bushings, automotive tires and other products, constitutive models to represent it have been developed in the past (e.g., Lion et al. 2003).[6] Similar to the Payne effect under small deformations is the Mullins effect that is observed under large deformations.
See also
References
- ^ Payne, A. R. (1962). "The Dynamic Properties of Carbon Black-Loaded Natural Rubber Vulcanizates. Part I". J. Appl. Polym. Sci. 6 (19): 57–63. doi:10.1002/app.1962.070061906.
- ^ Medalia, A. I. (1 July 1978). "Effect of Carbon Black on Dynamic Properties of Rubber Vulcanizates". Rubber Chemistry and Technology. 51 (3): 437–523. doi:10.5254/1.3535748. Retrieved 7 September 2022.
- ^ Fletcher, W. P.; Gent, A. N. (1953). "Non-Linearity in the Dynamic Properties of Vulcanised Rubber Compounds". Trans. Inst. Rubber Ind. 29: 266–280. doi:10.5254/1.3543472. Retrieved 7 September 2022.
- ^ Kraus, Gerard (1984). "Mechanical losses in carbon-black-filled rubbers". Journal of Applied Polymer Science, Applied Polymer Symposia. 39: 75–92.
- ^ Wang, M. J. (1999). "The role of filler networking in dynamic properties of filled rubber". Rubber Chemistry and Technology. 72 (2): 430–448. doi:10.5254/1.3538812. Retrieved 7 September 2022.
- ^ Lion, A.; Kardelky, C.; Haupt, P. (2003). "On the Frequency and Amplitude Dependence of the Payne Effect: Theory and Experiments". Rubber Chemistry and Technology. 76 (2): 533–547. doi:10.5254/1.3547759. Retrieved 7 September 2022.