Isoxazoline
![]() 2-isoxazoline
| |
![]() 3-isoxazoline
| |
![]() 4-isoxazoline
| |
| Names | |
|---|---|
| Systematic IUPAC name
Respective to images: 4,5-Dihydroisoxazole 2,5-Dihydroisoxazole 2,3-Dihydroisoxazole | |
| Other names
Respective to images:
Δ2-isoxazoline Δ3-isoxazoline Δ4-isoxazoline | |
| Identifiers | |
| |
3D model (JSmol)
|
|
| ChEBI | |
| ChemSpider | |
PubChem CID
|
|
CompTox Dashboard (EPA)
|
|
| |
| |
| Properties | |
| C3H5NO | |
| Molar mass | 71.079 g·mol−1 |
Except where otherwise noted, data are given for materials in their standard state (at 25 °C [77 °F], 100 kPa).
Infobox references
| |
Isoxazoline is a five-membered heterocyclic chemical compound, containing one atom each of oxygen and nitrogen which are located adjacent to one another. The ring was named in-line with the Hantzsch–Widman nomenclature. Isoxazolines are structural isomers of the more common oxazolines and exist in three different isomers depending on the location of the double bond. The relatively weak N-O bond makes isoxazolines prone to ring-opening and rearrangement reactions.
Uses
There are thousands of compounds containing isoxazoline rings, which are described to have a particular use. A number of naturally occurring isoxazolines with possible anti-cancer activity are produced by marine sponges.[1]
Isoxazoline insecticide
The isoxazoline class of insecticides was discovered by Nissan. They act by allosterically modulating GABA-gated chloride channels (IRAC group 30) and glutamate-gated chloride channels; this decreases influx of chloride into the post-synaptic neuron, leading to hyperexcitation of the nuron, and paralysis of the parasite.[2]
Fluralaner and lotilaner are used against fleas in both dogs and cats, whereas afoxolaner and sarolaner are only approved for dogs,[2] and esafoxolaner is currently only approved for cats.[3] In 2018, the U.S. FDA issued a drug safety communication regarding post-marketing reports of neurological side effects in cats and dogs taking isoxazoline-containing flea & tick medications.[4][5]
Lotilaner is also the first isoxazoline approved for human use as Lotilaner eye drops, sold under the brand name Xdemvy. This medication is approved for treatment of blepharitis (inflammation of the eyelid) caused by infestation by Demodex (tiny mites).[6]
Fluxametamide and isocycloseram are used as agricultural insecticides.[7][8]
Synthesis
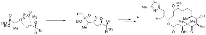
2-Isoxazolines are generally produced by the 1,3-dipolar cycloaddition of nitrile oxides with alkenes.[9] This has been applied in a diastereoselective manner in the synthesis of epothilones.[10]

3-isoxazolines are prepared from 2-isoxazolines via their N-methylation to form 2-isoxazolinium salts, followed by nucleophilic attack and deprotonation.[11]
4-Isoxazolines are most commonly produced by (3+2) cycloaddition between a nitrone and an alkyne.[12] This can be considered an extension of the more common nitrone-olefin (3+2) cycloaddition used for creating isoxazolidines.

See also
References
- ^ Kaur, Kamalneet; Kumar, Vinod; Sharma, Anil Kumar; Gupta, Girish Kumar (April 2014). "Isoxazoline containing natural products as anticancer agents: A review". European Journal of Medicinal Chemistry. 77: 121–133. doi:10.1016/j.ejmech.2014.02.063. PMID 24631731.
- ^ a b Zhou, Xueying; Hohman, Alexandra E.; Hsu, Walter H. (January 2022). "Current review of isoxazoline ectoparasiticides used in veterinary medicine". Journal of Veterinary Pharmacology and Therapeutics. 45 (1): 1–15. doi:10.1111/jvp.12959. ISSN 0140-7783. PMID 33733534.
- ^ "DailyMed - NEXGARD COMBO- esafoxolaner, eprinomectin, and praziquantel solution". Retrieved 2025-06-27.
- ^ Mitek, Ashley (2018-10-22). "FDA Alert on Flea Medications". Veterinary Medicine at Illinois. Retrieved 2025-06-27.
- ^ Medicine, Center for Veterinary (2023-08-08). "Fact Sheet for Pet Owners and Veterinarians about Potential Adverse Events Associated with Isoxazoline Flea and Tick Products". FDA. Retrieved 2025-06-27.
- ^ "DailyMed - XDEMVY- lotilaner ophthalmic solution solution/ drops". dailymed.nlm.nih.gov. Retrieved 2025-03-14.
- ^ Asahi, M.; Kobayashi, M.; Kagami, K.; Nakahira, K.; et al. (2018). "Fluxametamide: A novel isoxazoline insecticide that acts via distinctive antagonism of insect ligand-gated chloride channels". Pestic. Biochem. Phys. 151: 67–72. Bibcode:2018PBioP.151...67A. doi:10.1016/j.pestbp.2018.02.002. PMID 30704715.
- ^ Maienfisch, Peter; Mangelinckx, Sven, eds. (2021). "Chapter 9 - The discovery of isocycloseram: A novel isoxazoline insecticide". Recent Highlights in the Discovery and Optimization of Crop Protection Products. Academic Press. pp. 165–212. doi:10.1016/B978-0-12-821035-2.00008-5. ISBN 978-0-12-821035-2.
- ^ Erik Larsen, Karl; Torssell, Kurt B.G. (January 1984). "An improved procedure for the preparation of 2-isoxazolines". Tetrahedron. 40 (15): 2985–2988. doi:10.1016/S0040-4020(01)91313-4.
- ^ Bode, Jeffrey; Carreira, Erick (2011). "Stereoselective Syntheses of Epothilones A and B via Directed Nitrile Oxide Cycloaddition". Journal of the American Chemical Society. 123 (15): 3611–3612. doi:10.1021/ja0155635. PMID 11472140.
- ^ Jäger, Volker; Frey, Wolfgang; Bathich, Yaser; Shiva, Sunitha; Ibrahim, Mohammad; Henneböhle, Marco; LeRoy, Pierre-Yves; Imerhasan, Mukhtar (1 July 2010). "2-Isoxazolinium Salts and 3-Isoxazolines: Exploratory Chemistry and Uses for the Synthesis of Branched Amino Polyols and Amino Acids". Zeitschrift für Naturforschung B. 65 (7): 821–832. doi:10.1515/znb-2010-0708. S2CID 12345097.
- ^ Freeman, Jeremiah P. (June 1983). ".DELTA.4-Isoxazolines (2,3-dihydroisoxazoles)". Chemical Reviews. 83 (3): 241–261. doi:10.1021/cr00055a002.


