Hyaluronic acid
![]() | |
![]() Haworth projection
| |
| Names | |
|---|---|
| IUPAC name
(1→4)-(2-Acetamido-2-deoxy-D-gluco)-(1→3)-D-glucuronoglycan
| |
| Systematic IUPAC name
Poly{[(2S,3R,4R,5S,6R)-3-acetamido-5-hydroxy-6-(hydroxymethyl)oxane-2,4-diyl]oxy[(2R,3R,4R,5S,6S)-6-carboxy-3,4-dihydroxyoxane-2,5-diyl]oxy} | |
| Identifiers | |
| ChEBI | |
| ChemSpider |
|
| ECHA InfoCard | 100.029.695 |
| EC Number |
|
PubChem CID
|
|
| UNII | |
CompTox Dashboard (EPA)
|
|
| Properties | |
| (C14H21NO11)n | |
| Pharmacology | |
| D03AX05 (WHO) M09AX01 (WHO), R01AX09 (WHO), S01KA01 (WHO) | |
| Related compounds | |
Related compounds
|
|
Except where otherwise noted, data are given for materials in their standard state (at 25 °C [77 °F], 100 kPa).
Infobox references
| |
Hyaluronic acid (/ˌhaɪ.əljʊəˈrɒnɪk/;[1][2] abbreviated HA; conjugate base hyaluronate), also called hyaluronan, is an anionic, nonsulfated glycosaminoglycan distributed widely throughout connective, epithelial, and neural tissues. It is unique among glycosaminoglycans as it is non-sulfated, forms in the plasma membrane instead of the Golgi apparatus, and can be very large: human synovial HA averages about 7 MDa per molecule, or about 20,000 disaccharide monomers,[3] while other sources mention 3–4 MDa.[4]
Medically, hyaluronic acid is used to treat osteoarthritis of the knee and dry eye, for wound repair, and as a cosmetic filler.
The average 70 kg (150 lb) person has roughly 15 grams of hyaluronan in the body, one third of which is turned over (i.e., degraded and synthesized) per day.[5]
As one of the chief components of the extracellular matrix, it contributes significantly to cell proliferation and migration, and is involved in the progression of many malignant tumors.[6][7] Hyaluronic acid is also a component of the group A streptococcal extracellular capsule,[8] and is believed to play a role in virulence.[9][10][11]
Physiological function
Until the late 1970s, hyaluronic acid was described as a "goo" molecule, a ubiquitous carbohydrate polymer that is part of the extracellular matrix.[12] For example, hyaluronic acid is a major component of the synovial fluid and was found to increase the viscosity of the fluid. Along with lubricin, it is one of the fluid's main lubricating components.
Hyaluronic acid is an important component of articular cartilage, where it is present as a coat around each cell (chondrocyte). When aggrecan monomers bind to hyaluronan in the presence of HAPLN1 (hyaluronic acid and proteoglycan link protein 1), large, highly negatively charged aggregates form. These aggregates imbibe water and are responsible for the resilience of cartilage (its resistance to compression). The molecular weight (size) of hyaluronan in cartilage decreases with age, but the amount increases.[13]
A lubricating role of hyaluronan in muscular connective tissues to enhance the sliding between adjacent tissue layers has been suggested. A particular type of fibroblasts, embedded in dense fascial tissues, has been proposed as being cells specialized for the biosynthesis of the hyaluronan-rich matrix. Their related activity could be involved in regulating the sliding ability between adjacent muscular connective tissues.[14]
Hyaluronic acid is also a major component of skin, where it is involved in repairing tissue. When skin is exposed to excessive UVB rays, it becomes inflamed (sunburn), and the cells in the dermis stop producing as much hyaluronan and increase the rate of its degradation. Hyaluronan degradation products then accumulate in the skin after UV exposure.[15]
While it is abundant in extracellular matrices, hyaluronan also contributes to tissue hydrodynamics, movement, and proliferation of cells and participates in a number of cell surface receptor interactions, notably those including its primary receptors, CD44 and RHAMM. Upregulation of CD44 itself is widely accepted as a marker of cell activation in lymphocytes. Hyaluronan's contribution to tumor growth may be due to its interaction with CD44. Receptor CD44 participates in cell adhesion interactions required by tumor cells.[16]
Although hyaluronan binds to receptor CD44, there is evidence hyaluronan degradation products transduce their inflammatory signal through toll-like receptor 2 (TLR2), TLR4, or both TLR2 and TLR4 in macrophages and dendritic cells. TLR and hyaluronan play a role in innate immunity.
There are limitations including the in vivo loss of this compound limiting the duration of effect.[17]
Wound repair
As a major component of the extracellular matrix, hyaluronic acid has a key role in tissue regeneration, inflammation response, and angiogenesis, which are phases of wound repair.[18] As of 2023, however, reviews of its effect on healing for chronic wounds including burns, diabetic foot ulcers or surgical skin repairs show either insufficient evidence or only limited positive clinical research evidence.[18][19] There is also some limited evidence to suggest that hyaluronic acid may be beneficial for ulcer healing and may help to a small degree with pain control.[19] Hyaluronic acid combines with water and swells to form a gel, making it useful in skin treatments as a dermal filler for facial wrinkles; its effect lasts for about 6 to 12 months, and treatment has regulatory approval from the US Food and Drug Administration.[20]
Granulation
Granulation tissue is the perfused, fibrous connective tissue that replaces a fibrin clot in healing wounds. It typically grows from the base of a wound and is able to fill wounds of almost any size it heals. HA is abundant in granulation tissue matrix. A variety of cell functions that are essential for tissue repair may attribute to this HA-rich network. These functions include facilitation of cell migration into the provisional wound matrix, cell proliferation, and organization of the granulation tissue matrix. Initiation of inflammation is crucial for the formation of granulation tissue; therefore, the pro-inflammatory role of HA as discussed above also contributes to this stage of wound healing.
Cell migration
Cell migration is essential for the formation of granulation tissue.[21] The early stage of granulation tissue is dominated by a HA-rich extracellular matrix, which is regarded as a conducive environment for the migration of cells into this temporary wound matrix.[21] HA provides an open hydrated matrix that facilitates cell migration, whereas, in the latter scenario, directed migration and control of related cell mechanisms are mediated via the specific cell interaction between HA and cell surface HA receptors.[21] It forms links with several protein kinases associated with cell locomotion, for example, extracellular signal-regulated kinase, focal adhesion kinase, and other non-receptor tyrosine kinases.[21] During fetal development, the migration path through which neural crest cells migrate is rich in HA. HA is closely associated with the cell migration process in granulation tissue matrix, and studies show that cell movement can be inhibited, at least partially, by HA degradation or blocking HA receptor occupancy.[21]
By providing the dynamic force to the cell, HA synthesis has also been shown to associate with cell migration.[21] Basically, HA is synthesized at the plasma membrane and released directly into the extracellular environment.[21] This may contribute to the hydrated microenvironment at sites of synthesis, and is essential for cell migration by facilitating cell detachment.[21]
Skin healing
HA plays an important role in the normal epidermis. HA also has crucial functions in the reepithelization process due to several of its properties. These include being an integral part of the extracellular matrix of basal keratinocytes, which are major constituents of the epidermis; its free-radical scavenging function, and its role in keratinocyte proliferation and migration.
In normal skin, HA is found in relatively high concentrations in the basal layer of the epidermis where proliferating keratinocytes are found.[22] CD44 is collocated with HA in the basal layer of epidermis where additionally it has been shown to be preferentially expressed on plasma membrane facing the HA-rich matrix pouches.[23] Maintaining the extracellular space and providing an open, as well as hydrated, structure for the passage of nutrients are the main functions of HA in epidermis. A report found HA content increases in the presence of retinoic acid (vitamin A).[22] The proposed effects of retinoic acid against skin photo-damage and photoaging may be correlated, at least in part, with an increase of skin HA content, giving rise to increased tissue hydration. It has been suggested that the free-radical scavenging property of HA contributes to protection against solar radiation, supporting the role of CD44 acting as a HA receptor in the epidermis.
Epidermal HA also functions as a manipulator in the process of keratinocyte proliferation, which is essential in normal epidermal function, as well as during reepithelization in tissue repair. In the wound healing process, HA is expressed in the wound margin, in the connective tissue matrix, and collocating with CD44 expression in migrating keratinocytes.
Medical uses
Hyaluronic acid has been FDA-approved to treat osteoarthritis of the knee via intra-articular injection.[24] A 2012 review showed that the quality of studies supporting this use was mostly poor, with a general absence of significant benefits, and that intra-articular injection of HA could possibly cause adverse effects.[25] A 2020 meta-analysis found that intra-articular injection of high molecular weight HA improved both pain and function in people with knee osteoarthritis.[26]
Hyaluronic acid has been used to treat dry eye.[27] Hyaluronic acid is a common ingredient in skin care products. Hyaluronic acid is used as a dermal filler in cosmetic surgery.[28] It is typically injected using either a classic sharp hypodermic needle or a micro-cannula. Some studies have suggested that the use of micro-cannulas can significantly reduce vessel embolisms during injections.[29][30] Currently, hyaluronic acid is used as a soft tissue filler due to its bio-compatibility and possible reversibility using hyaluronidase.[31][29] Complications include the severing of nerves and microvessels, pain, and bruising. Some side effects can also appear by way of erythema, itching, and vascular occlusion; vascular occlusion is the most worrisome side effect due to the possibility of skin necrosis, or even blindness in a patient.[32][33][34][35][29] In some cases, hyaluronic acid fillers can result in a granulomatous foreign body reaction.[36]
Hyaluronic acid is used to displace tissues away from tissues which are going to be subjected to radiation, for instance in one treatment option for some prostate cancers.[37]
Sources
Hyaluronic acid is produced on a large scale by extraction from animal tissues, such as chicken comb, and from Streptococci.[38]
Structure
Hyaluronic acid is a polymer of disaccharides, which are composed of D-glucuronic acid and N-acetyl-D-glucosamine, linked via alternating β-(1→4) and β-(1→3) glycosidic bonds. Hyaluronic acid can be 25,000 disaccharide repeats in length. Polymers of hyaluronic acid can range in size from 5000 to 20000000 Da in vivo. The average molecular weight in human synovial fluid is 3–4 million Da, and hyaluronic acid purified from human umbilical cord is 3,140,000 Da;[4] other sources mention average molecular weight of 7 million Da for synovial fluid.[3] Hyaluronic acid was once thought to contain silicon,[39] but this was later found to be from contamination in the processing.[40]
Hyaluronic acid is energetically stable, in part because of the stereochemistry of its component disaccharides. Bulky groups on each sugar molecule are in sterically favored positions, whereas the smaller hydrogens assume the less-favorable axial positions.
Hyaluronic acid in aqueous solutions self-associates to form transient clusters in solution.[41] While it is considered a polyelectrolyte polymer chain, hyaluronic acid does not exhibit the polyelectrolyte peak, suggesting the absence of a characteristic length scale between the hyaluronic acid molecules and the emergence of a fractal clustering, which is due to the strong solvation of these molecules.[41]
Biological synthesis
Hyaluronic acid is synthesized by a class of integral membrane proteins called hyaluronan synthases, of which vertebrates have three types: HAS1, HAS2, and HAS3. These enzymes lengthen hyaluronan by repeatedly adding D-glucuronic acid and N-acetyl-D-glucosamine to the nascent polysaccharide as it is extruded via ABC-transporter through the cell membrane into the extracellular space.[42] The term fasciacyte was coined to describe fibroblast-like cells that synthesize HA.[43][44]
Hyaluronic acid synthesis has been shown to be inhibited by 4-methylumbelliferone (hymecromone), a 7-hydroxy-4-methylcoumarin derivative.[45] This selective inhibition (without inhibiting other glycosaminoglycans) may prove useful in preventing metastasis of malignant tumor cells.[46] There is feedback inhibition of hyaluronan synthesis by low-molecular-weight hyaluronan (<500 kDa) at high concentrations, but there is stimulation by high-molecular-weight hyaluronan (>500 kDa) when tested in cultured human synovial fibroblasts.[47]
Bacillus subtilis recently has been genetically modified to culture a proprietary formula to yield hyaluronans,[48] in a patented process producing human-grade product.
Fasciacyte
A fasciacyte is a type of biological cell that produces hyaluronan-rich extracellular matrix and modulates the gliding of muscle fasciae.[43]
Fasciacytes are fibroblast-like cells found in fasciae. They are round-shaped with rounder nuclei and have less elongated cellular processes when compared with fibroblasts. Fasciacytes are clustered along the upper and lower surfaces of a fascial layer.
Fasciacytes produce hyaluronan, which regulates fascial gliding.[43]
Biosynthetic mechanism
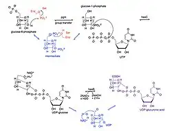
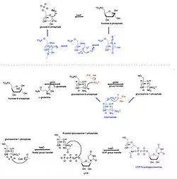
Hyaluronic acid (HA) is a linear glycosaminoglycan (GAG), an anionic, gel-like, polymer, found in the extracellular matrix of epithelial and connective tissues of vertebrates. It is part of a family of structurally complex, linear, anionic polysaccharides.[7] The carboxylate groups present in the molecule make it negatively charged, therefore allowing for successful binding to water, and making it valuable to cosmetic and pharmaceutical products.[49]
HA consists of repeating β4-glucuronic acid (GlcUA)-β3-N-acetylglucosamine (GlcNAc) disaccharides, and is synthesized by hyaluronan synthases (HAS), a class of integral membrane proteins that produce the well-defined, uniform chain lengths characteristic to HA.[49] There are three existing types of HASs in vertebrates: HAS1, HAS2, HAS3; each of these contribute to elongation of the HA polymer.[7] For an HA capsule to be created, this enzyme must be present because it polymerizes UDP-sugar precursors into HA. HA precursors are synthesized by first phosphorylating glucose by hexokinase, yielding glucose-6-phosphate, which is the main HA precursor.[50] Then, two routes are taken to synthesize UDP-n-acetylglucosamine and UDP-glucuronic acid which both react to form HA. Glucose-6-phosphate gets converted to either fructose-6-phosphate with hasE (phosphoglucoisomerase), or glucose-1-phosphate using pgm (α-phosphoglucomutase), where those both undergo different sets of reactions.[50]
UDP-glucuronic acid and UDP-n-acetylglucosamine get bound together to form HA via hasA (HA synthase).[49]

Synthesis of UDP-glucuronic acid
UDP-glucuronic acid is formed from hasC (UDP-glucose pyrophosphorylase) converting glucose-1-P into UDP-glucose, which then reacts with hasB (UDP-glucose dehydrogenase) to form UDP-glucuronic acid.[49]

Synthesis of N-acetyl glucosamine
The path forward from fructose-6-P utilizes glmS (amidotransferase) to form glucosamine-6-P. Then, glmM (Mutase) reacts with this product to form glucosamine-1-P. hasD (acetyltransferase) converts this into n-acetylglucosamine-1-P, and finally, hasD (pyrophosphorylase) converts this product into UDP-n-acetylglucosamine.[50]

Final step: Two disaccharides form hyaluronic acid
UDP-glucuronic acid and UDP-n-acetylglucosamine get bound together to form HA via hasA (HA synthase), completing the synthesis.[50]
Degradation
Hyaluronic acid can be degraded by a family of enzymes called hyaluronidases. In humans, there are at least seven types of hyaluronidase-like enzymes, several of which are tumor suppressors. The degradation products of hyaluronan, the oligosaccharides and very low-molecular-weight hyaluronan, exhibit pro-angiogenic properties.[51] In addition, recent studies showed hyaluronan fragments, not the native high-molecular weight molecule, can induce inflammatory responses in macrophages and dendritic cells in tissue injury and in skin transplant.[52][53]
Hyaluronan can also be degraded via non-enzymatic reactions. These include acidic and alkaline hydrolysis, ultrasonic disintegration, thermal decomposition, and degradation by oxidants.[54]
Etymology
The term hyaluronic acid is derived from hyalos (Greek for vitreous, meaning 'glass-like') and uronic acid[55] because it was first isolated from the vitreous humour and possesses a high uronic acid content. The term hyaluronate refers to the conjugate base of hyaluronic acid. Since the molecule typically exists in vivo in its polyanionic form, it is most commonly referred to as hyaluronan.[56]
History
Hyaluronic acid was first obtained by Karl Meyer and John Palmer in 1934 from the vitreous body in a cow's eye.[57] The first hyaluronan biomedical product, Healon, was developed in the 1970s and 1980s by Pharmacia,[58] and approved for use in eye surgery (i.e., corneal transplantation, cataract surgery, glaucoma surgery, and surgery to repair retinal detachment). Other biomedical companies also produce brands of hyaluronan for ophthalmic surgery.[59]
Native hyaluronic acid has a relatively short half-life (shown in rabbits)[60] so various manufacturing techniques have been deployed to extend the length of the chain and stabilise the molecule for its use in medical applications. The introduction of protein-based cross-links,[61] the introduction of free-radical scavenging molecules such as sorbitol,[62] and minimal stabilisation of the HA chains through chemical agents such as NASHA (non-animal stabilised hyaluronic acid)[63] are all techniques that have been used to preserve its shelf life.[64]
In the late 1970s, intraocular lens implantation was often followed by severe corneal edema, due to endothelial cell damage during the surgery. It was evident that a viscous, clear, physiologic lubricant to prevent such scraping of the endothelial cells was needed.[65][66]
Other animals
Hyaluronan is used in treatment of articular disorders in horses, in particular those in competition or heavy work. It is indicated for carpal and fetlock joint dysfunctions, but not when joint sepsis or fracture are suspected. It is especially used for synovitis associated with equine osteoarthritis. It can be injected directly into an affected joint, or intravenously for less localized disorders. It may cause mild heating of the joint if directly injected, but this does not affect the clinical outcome. Intra-articularly administered medicine is fully metabolized in less than a week.[67]
According to Canadian regulation, hyaluronan in HY-50 preparation should not be administered to animals to be slaughtered for horse meat.[68] In Europe, however, the same preparation is not considered to have any such effect, and edibility of the horse meat is not affected.[69]
Research
Due to its accumulation in airway epithelial cells in various respiratory diseases, such as COVID-19, cystic fibrosis, influenza, and sepsis, hyaluronic acid is under study as a possible mediator of lung inflammatory mechanisms, as of 2022.[70]
The high biocompatibility of hyaluronic acid and its common presence in the extracellular matrix of tissues indicate its possible use as a biomaterial scaffold in tissue engineering.[71] In particular, research groups have found hyaluronan's properties for tissue engineering and regenerative medicine may be improved with cross-linking, producing a hydrogel. Crosslinking may allow a desired shape, as well as to deliver therapeutic molecules into a host.[72] Hyaluronan can be crosslinked by attaching thiols (see thiomers) (trade names: Extracel, HyStem),[73] hexadecylamides (trade name: Hymovis),[74] and tyramines (trade name: Corgel).[75] Hyaluronan can also be crosslinked directly with formaldehyde (trade name: Hylan-A) or with divinylsulfone (trade name: Hylan-B).[76] Hyaluronic acid can also be crosslinked with a bifunctional crosslinking agent 1,4-Butanediol diglycidyl ether (BDDE) using a ResonantAcoustic mixer over a period of time ranging from about 1 minute to about 10 minutes.[77]
Due to its ability to regulate angiogenesis by stimulating endothelial cells to proliferate in vitro, hyaluronan can be used to create hydrogels to study vascular morphogenesis.[78]
Research shows that abnormal hyaluronic acid (HA) metabolism is a major factor in tumor progression.[79][80] HA and HA fragment-tumor cell interaction could activate the downstream signaling pathways, promoting cell proliferation, adhesion, migration and invasion, and inducing angiogenesis, lymphangiogenesis, epithelial-mesenchymal transition, stem cell-like property, and chemoradioresistance in digestive cancers.[81]
See also
- Sodium hyaluronate, the sodium salt of hyaluronic acid, a glycosaminoglycan found in various human connective tissue.
- Microbial hyaluronic acid production, the process by which microorganisms are utilized in fermentation to synthesize hyaluronic acid.
- Alguronic acid, trade name for a mix of polysaccharides produced by microalgae. Inhibits production of hyaluronic-acid-degrading enzymes.
- Bloomage, a biomaterial company based in China, primarily specialized in hyaluronic acid and other bioactive substance products.
References
- ^ "Hyaluronic Acid | Definition of Hyaluronic Acid by Oxford Dictionary". Lexico Dictionaries | English. Archived from the original on October 6, 2019.
- ^ "Hyaluronic acid". wordreference.com.
- ^ a b Fraser JR, Laurent TC, Laurent UB (1997). "Hyaluronan: its nature, distribution, functions and turnover". J. Intern. Med. 242 (1): 27–33. doi:10.1046/j.1365-2796.1997.00170.x. PMID 9260563. S2CID 37551992.
- ^ a b Saari H, Konttinen YT, Friman C, Sorsa T (1993). "Differential effects of reactive oxygen species on native synovial fluid and purified human umbilical cord hyaluronate". Inflammation. 17 (4): 403–15. doi:10.1007/bf00916581. PMID 8406685. S2CID 5181236.
- ^ Stern R (2004). "Hyaluronan catabolism: a new metabolic pathway". Eur. J. Cell Biol. 83 (7): 317–25. doi:10.1078/0171-9335-00392. PMID 15503855.
- ^ Stern, Robert, ed. (2009). Hyaluronan in cancer biology (1st ed.). San Diego, CA: Academic Press/Elsevier. ISBN 978-0-12-374178-3.
- ^ a b c Itano, Naoki (2002). "Abnormal accumulation of hyaluronan matrix diminishes contact inhibition of cell growth and promotes cell migration". Proceedings of the National Academy of Sciences. 99 (6). Proc Natl Acad Sci USA: 3609–3614. Bibcode:2002PNAS...99.3609I. doi:10.1073/pnas.052026799. PMC 122571. PMID 11891291.
- ^ Sugahara K, Schwartz NB, Dorfman A (1979). "Biosynthesis of hyaluronic acid by Streptococcus" (PDF). J. Biol. Chem. 254 (14): 6252–6261. doi:10.1016/S0021-9258(18)50356-2. PMID 376529.
- ^ Rao S, Pham TH, Poudyal S, Cheng LW, Nazareth SC, Wang PC, et al. (2021-04-27). "First report on genetic characterization, cell-surface properties and pathogenicity of Lactococcus garvieae, emerging pathogen isolated from cage-cultured cobia (Rachycentron canadum)". Transboundary and Emerging Diseases. 69 (3). Hindawi Limited: 1197–1211. doi:10.1111/tbed.14083. ISSN 1865-1674. PMID 33759359. S2CID 232338928.
- ^ Wessels MR, Moses AE, Goldberg JB, DiCesare TJ (1991). "Hyaluronic acid capsule is a virulence factor for mucoid group A streptococci". Proc. Natl. Acad. Sci. U.S.A. 88 (19): 8317–8321. Bibcode:1991PNAS...88.8317W. doi:10.1073/pnas.88.19.8317. PMC 52499. PMID 1656437.
- ^ Schrager HM, Rheinwald JG, Wessels MR (1996). "Hyaluronic acid capsule and the role of streptococcal entry into keratinocytes in invasive skin infection". J. Clin. Invest. 98 (9): 1954–1958. doi:10.1172/JCI118998. PMC 507637. PMID 8903312.
- ^ Toole BP (2000). "Hyaluronan is not just a goo!". J. Clin. Invest. 106 (3): 335–336. doi:10.1172/JCI10706. PMC 314333. PMID 10930435.
- ^ Holmes MW, Bayliss MT, Muir H (1988). "Hyaluronic acid in human articular cartilage. Age-related changes in content and size". Biochem. J. 250 (2): 435–441. doi:10.1042/bj2500435. PMC 1148875. PMID 3355532.
- ^ Stecco C, Stern R, Porzionato A, Macchi V, Masiero S, Stecco A, et al. (2011). "Hyaluronan within fascia in the etiology of myofascial pain". Surg Radiol Anat. 33 (10): 891–6. doi:10.1007/s00276-011-0876-9. PMID 21964857. S2CID 19645759.
- ^ Averbeck M, Gebhardt CA, Voigt S, Beilharz S, Anderegg U, Termeer CC, et al. (2007). "Differential regulation of hyaluronan metabolism in the epidermal and dermal compartments of human skin by UVB irradiation". J. Invest. Dermatol. 127 (3): 687–97. doi:10.1038/sj.jid.5700614. PMID 17082783.
- ^ Iaconisi GN, Ahmed A, Lauria G, Gallo N, Fiermonte G, Cowman MK, et al. (December 2024). "Targeting mitochondria in Cancer therapy: Machine learning analysis of hyaluronic acid-based drug delivery systems". International Journal of Biological Macromolecules. 283: 137840. doi:10.1016/j.ijbiomac.2024.137840.
- ^ "Synvisc-One (hylan GF-20) – P940015/S012". Food and Drug Administration. Archived from the original on 2014-11-29. Retrieved 2014-11-23.
- ^ a b Shaharudin A, Aziz Z (2 October 2016). "Effectiveness of hyaluronic acid and its derivatives on chronic wounds: a systematic review". Journal of Wound Care. 25 (10): 585–592. doi:10.12968/jowc.2016.25.10.585. ISSN 0969-0700. PMID 27681589.
- ^ a b Roehrs H, Stocco JG, Pott F, Blanc G, Meier MJ, Dias FA (2023-07-27). Cochrane Wounds Group (ed.). "Dressings and topical agents containing hyaluronic acid for chronic wound healing". Cochrane Database of Systematic Reviews. 2023 (7): CD012215. doi:10.1002/14651858.CD012215.pub2. PMC 10373121. PMID 37497805.
- ^ "Dermal Fillers Approved by the Center for Devices and Radiological Health". U S Food and Drug Administration. 26 November 2018. Archived from the original on February 8, 2019. Retrieved 11 March 2019.
- ^ a b c d e f g h Litwiniuk M, Krejner A, Speyrer MS, Gauto AR, Grzela T (2016). "Hyaluronic acid in inflammation and tissue regeneration". Wounds. 28 (3): 78–88. ISSN 1044-7946. PMID 26978861.
- ^ a b Tammi R, Ripellino JA, Margolis RU, Maibach HI, Tammi M (1989). "Hyaluronate accumulation in human epidermis treated with retinoic acid in skin organ culture". J. Invest. Dermatol. 92 (3): 326–32. doi:10.1111/1523-1747.ep12277125. PMID 2465358.
- ^ Tuhkanen AL, Tammi M, Pelttari A, Agren UM, Tammi R (1998). "Ultrastructural analysis of human epidermal CD44 reveals preferential distribution on plasma membrane domains facing the hyaluronan-rich matrix pouches". J. Histochem. Cytochem. 46 (2): 241–8. doi:10.1177/002215549804600213. PMID 9446831. S2CID 42549927.
- ^ Gower, Timothy. "Hyaluronic acid injections for osteoarthritis". US Arthritis Foundation. Archived from the original on 14 May 2015. Retrieved 16 March 2019.
- ^ Rutjes AW, Jüni P, da Costa BR, Trelle S, Nüesch E, Reichenbach S (2012). "Viscosupplementation for osteoarthritis of the knee: a systematic review and meta-analysis". Ann. Intern. Med. 157 (3): 180–91. doi:10.7326/0003-4819-157-3-201208070-00473. hdl:11380/1286620. PMID 22868835. S2CID 5660398.
- ^ Phillips M, Vannabouathong C, Devji T, Patel R, Gomes Z, Patel A, et al. (2020). "Differentiating factors of intra‑articular injectables have a meaningful impact on knee osteoarthritis outcomes: a network meta‑analysis". Knee Surgery, Sports Traumatology, Arthroscopy. 28 (9): 3031–3039. doi:10.1007/s00167-019-05763-1. PMC 7471203. PMID 31897550.
- ^ Pucker AD, Ng SM, Nichols JJ (2016). "Over the counter (OTC) artificial tear drops for dry eye syndrome". Cochrane Database Syst Rev. 2016 (2): CD009729. doi:10.1002/14651858.CD009729.pub2. PMC 5045033. PMID 26905373.
- ^ "Hyaluronic Acid – Uses, Side Effects, And More". WebMD. Retrieved 1 February 2023.
- ^ a b c Wu K, Xie L, Wang M, Jiang Y, Tang Y, Wang H (August 2018). "Comparison of the Microstructures and Properties of Different Microcannulas for Hyaluronic Acid Injection". Plastic and Reconstructive Surgery. 142 (2): 150e – 159e. doi:10.1097/PRS.0000000000004573. PMID 29889738. S2CID 48361201.
- ^ Lazzeri D, Agostini T, Figus M, Nardi M, Pantaloni M, Lazzeri S (2012). "Blindness following Cosmetic Injections of the Face". Plastic and Reconstructive Surgery. 129 (4). Ovid Technologies (Wolters Kluwer Health): 995–1012. doi:10.1097/prs.0b013e3182442363. ISSN 0032-1052. PMID 22456369. S2CID 44566627.
- ^ Borzabadi-Farahani A, Mosahebi A, Zargaran D (2022). "A Scoping Review of Hyaluronidase Use in Managing the Complications of Aesthetic Interventions". Aesthetic Plastic Surgery. 48 (6): 1193–1209. doi:10.1007/s00266-022-03207-9. PMC 10999391. PMID 36536092. S2CID 254913847.
- ^ Alam M, Dover JS (2007). "Management of Complications and Sequelae with Temporary Injectable Fillers". Plastic and Reconstructive Surgery. 120 (Supplement). Ovid Technologies (Wolters Kluwer Health): 98S – 105S. doi:10.1097/01.prs.0000248859.14788.60. ISSN 0032-1052. PMID 18090348. S2CID 28303093.
- ^ Niamtu J (2005). "New Lip and Wrinkle Fillers". Oral and Maxillofacial Surgery Clinics of North America. 17 (1). Elsevier BV: 17–28. doi:10.1016/j.coms.2004.10.001. ISSN 1042-3699. PMID 18088761.
- ^ Niamtu J. Rejuvenation of the lip and perioral areas. In: Bell WH, Guerroro CA, eds. Distraction Osteogenesis of the Facial Skeleton. Hamilton, Ontario, Canada: Decker; 2007:38–48.
- ^ Abduljabbar MH, Basendwh MA (2016). "Complications of hyaluronic acid fillers and their managements". Journal of Dermatology & Dermatologic Surgery. 20 (2). Medknow: 100–106. doi:10.1016/j.jdds.2016.01.001. ISSN 2352-2410.
- ^ Edwards PC, Fantasia JE (2007). "Review of long-term adverse effects associated with the use of chemically-modified animal and nonanimal source hyaluronic acid dermal fillers". Clinical Interventions in Aging. 2 (4): 509–19. doi:10.2147/cia.s382. PMC 2686337. PMID 18225451.
- ^ Tang Q, Zhao F, Yu X, Wu L, Lu Z, Yan S (2018). "The role of radioprotective spacers in clinical practice: a review". Quantitative Imaging in Medicine and Surgery. 8 (5). Quant Imaging Med Surg: 514–524. doi:10.21037/qims.2018.06.06. PMC 6037953. PMID 30050786.
- ^ Sze J, Brownlie JC, Love CA (2016-02-15). "Biotechnological production of hyaluronic acid: a mini review". 3 Biotech. 6 (1): 67. doi:10.1007/s13205-016-0379-9. ISSN 2190-572X. PMC 4754297. PMID 28330137.
- ^ Schwarz K (1973-05-01). "A bound form of silicon in glycosaminoglycans and polyuronides". Proceedings of the National Academy of Sciences of the United States of America. 70 (5): 1608–1612. Bibcode:1973PNAS...70.1608S. doi:10.1073/pnas.70.5.1608. ISSN 0027-8424. PMC 433552. PMID 4268099.
- ^ Schwarz K (1978). "Physiological Significance of Silicon in Animal and Man". In Bendz G, Lindquist I (eds.). Biochemistry of silicon and related problems: proceedings of the 40. Nobel Symposium held in Lidingö, Sweden, August 23 - 26, 1977 (Softcover repr ed.). New York, NY: Springer Science+Business Media. p. 219. ISBN 9781461340201.
- ^ a b Chremos A, Horkay F (2020-03-12). "Disappearance of the polyelectrolyte peak in salt-free solutions". Phys. Rev. E. 102 (1): 012611. Bibcode:2020PhRvE.102a2611C. doi:10.1103/PhysRevE.102.012611. PMC 8243406. PMID 32794995.
- ^ Schulz T, Schumacher U, Prehm P (2007). "Hyaluronan export by the ABC transporter MRP5 and its modulation by intracellular cGMP". J. Biol. Chem. 282 (29): 20999–21004. doi:10.1074/jbc.M700915200. PMID 17540771.
- ^ a b c Stecco C, Fede C, Macchi V, Porzionato A, Petrelli L, Biz C, et al. (2018-04-14). "The fasciacytes: A new cell devoted to fascial gliding regulation". Clinical Anatomy. 31 (5): 667–676. doi:10.1002/ca.23072. ISSN 0897-3806. PMID 29575206. S2CID 4852040.
- ^ Stecco C, Stern R, Porzionato A, Macchi V, Masiero S, Stecco A, et al. (2011-10-02). "Hyaluronan within fascia in the etiology of myofascial pain". Surgical and Radiologic Anatomy. 33 (10): 891–896. doi:10.1007/s00276-011-0876-9. ISSN 0930-1038. PMID 21964857. S2CID 19645759.
- ^ Kakizaki I, Kojima K, Takagaki K, Endo M, Kannagi R, Ito M, et al. (2004). "A novel mechanism for the inhibition of hyaluronan biosynthesis by 4-methylumbelliferone". J. Biol. Chem. 279 (32): 33281–33289. doi:10.1074/jbc.M405918200. PMID 15190064.
- ^ Yoshihara S, Kon A, Kudo D, Nakazawa H, Kakizaki I, Sasaki M, et al. (2005). "A hyaluronan synthase suppressor, 4-methylumbelliferone, inhibits liver metastasis of melanoma cells". FEBS Lett. 579 (12): 2722–2726. Bibcode:2005FEBSL.579.2722Y. doi:10.1016/j.febslet.2005.03.079. PMID 15862315. S2CID 46035041.
- ^ Smith MM, Ghosh P (1987). "The synthesis of hyaluronic acid by human synovial fibroblasts is influenced by the nature of the hyaluronate in the extracellular environment". Rheumatol Int. 7 (3): 113–122. doi:10.1007/bf00270463. PMID 3671989. S2CID 19253084.
- ^ "Novozymes Biopharma | Produced without the use of animal-derived materials or solvents". Archived from the original on 2010-09-15. Retrieved 2010-10-19.
- ^ a b c d Sze JH, Brownlie JC, Love CA (June 2016). "Biotechnological production of hyaluronic acid: a mini review". 3 Biotech. 6 (1): 67. doi:10.1007/s13205-016-0379-9. ISSN 2190-572X. PMC 4754297. PMID 28330137.
- ^ a b c d Moreno-Camacho CA, Montoya-Torres JR, Jaegler A, Gondran N (2019-09-10). "Sustainability metrics for real case applications of the supply chain network design problem: A systematic literature review". Journal of Cleaner Production. 231: 600–618. Bibcode:2019JCPro.231..600M. doi:10.1016/j.jclepro.2019.05.278. ISSN 0959-6526. S2CID 191866577.
- ^ Matou-Nasri S, Gaffney J, Kumar S, Slevin M (2009). "Oligosaccharides of hyaluronan induce angiogenesis through distinct CD44 and RHAMM-mediated signalling pathways involving Cdc2 and gamma-adducin". Int. J. Oncol. 35 (4): 761–773. doi:10.3892/ijo_00000389. PMID 19724912.
- ^ Yung S, Chan TM (2011). "Pathophysiology of the peritoneal membrane during peritoneal dialysis: the role of hyaluronan". J. Biomed. Biotechnol. 2011: 1–11. doi:10.1155/2011/180594. PMC 3238805. PMID 22203782.
- ^ Tesar BM, Jiang D, Liang J, Palmer SM, Noble PW, Goldstein DR (2006). "The role of hyaluronan degradation products as innate alloimmune agonists". Am. J. Transplant. 6 (11): 2622–2635. doi:10.1111/j.1600-6143.2006.01537.x. PMID 17049055. S2CID 45674285.
- ^ Stern R, Kogan G, Jedrzejas MJ, Šoltés L (1 November 2007). "The many ways to cleave hyaluronan". Biotechnology Advances. 25 (6): 537–557. doi:10.1016/j.biotechadv.2007.07.001. PMID 17716848.
- ^ Meyer K, Palmer JW (December 1934). "The Polysaccharide of the Vitreous Humor". Journal of Biological Chemistry. 107 (3): 629–634. doi:10.1016/s0021-9258(18)75338-6.
- ^ John H. Brekke, Gregory E. Rutkowski, Kipling Thacker (2011). "Chapter 19 Hyaluronan". In Jeffrey O. Hollinger (ed.). An Introduction to Biomaterials (2nd ed.).
- ^ Necas J, Bartosikova L, Brauner P, Kolar J (5 September 2008). "Hyaluronic acid (hyaluronan): a review". Veterinární Medicína. 53 (8): 397–411. doi:10.17221/1930-VETMED.
- ^ "Ophthalmic Viscosurgical Devices: History". Archived from the original on 2021-12-03. Retrieved 2021-12-03.
- ^ Bettenhausen C (2021-05-02). "Hyaluronic acid is just getting started". cen.acs.org. Retrieved 2022-05-04.
- ^ Brown TJ, Laurent UB, Fraser JR (1991). "Turnover of hyaluronan in synovial joints: elimination of labelled hyaluronan from the knee joint of the rabbit". Exp. Physiol. 76 (1): 125–134. doi:10.1113/expphysiol.1991.sp003474. PMID 2015069.
- ^ Frampton JE (2010). "Hylan G-F 20 single-injection formulation". Drugs Aging. 27 (1): 77–85. doi:10.2165/11203900-000000000-00000. PMID 20030435. S2CID 6329556.
- ^ "Home".
- ^ Avantaggiato A, Girardi A, Palmieri A, Pascali M, Carinci F (August 2015). "Bio-Revitalization: Effects of NASHA on Genes Involving Tissue Remodeling". Aesthetic Plastic Surgery. 39 (4): 459–64. doi:10.1007/s00266-015-0514-8. PMID 26085225. S2CID 19066664.
- ^ "DUROLANE". Bioventus OA Knee Pain Relief.
- ^ Miller D, O'Connor P, William J (1977). "Use of Na-Hyaluronate during intraocular lens implantation in rabbits". Ophthal. Surg. 8: 58–61.
- ^ Miller D, Stegmann R (1983). Healon: A Comprehensive Guide to its Use in Ophthalmic Surgery. New York: J Wiley.
- ^ "Dechra Veterinary Products". www.dechra.co.uk.
- ^ "Hy-50 (Canada) for Animal Use". Drugs.com. Archived from the original on June 7, 2011.
- ^ "Dechra Veterinary Products". www.dechra.co.uk. Archived from the original on June 1, 2008.
- ^ Albtoush N, Petrey AC (June 2022). "The role of hyaluronan synthesis and degradation in the critical respiratory illness COVID-19". American Journal of Physiology. Cell Physiology. 322 (6): C1037 – C1046. doi:10.1152/ajpcell.00071.2022. PMC 9126216. PMID 35442830.
- ^ Segura T, Anderson BC, Chung PH, Webber RE, Shull KR, Shea LD (2005). "Crosslinked hyaluronic acid hydrogels: a strategy to functionalize and pattern". Biomaterials. 26 (4): 359–371. doi:10.1016/j.biomaterials.2004.02.067. PMID 15275810.
- ^ Zheng Shu X, Liu Y, Palumbo FS, Luo Y, Prestwich GD (2004). "In situ crosslinkable hyaluronan hydrogels for tissue engineering". Biomaterials. 25 (7–8): 1339–1348. doi:10.1016/j.biomaterials.2003.08.014. PMID 14643608.
- ^ Griesser J, Hetényi G, Bernkop-Schnürch A (2018). "Thiolated Hyaluronic Acid as Versatile Mucoadhesive Polymer: From the Chemistry Behind to Product Developments-What Are the Capabilities?". Polymers. 10 (3): 243. doi:10.3390/polym10030243. PMC 6414859. PMID 30966278.
- ^ Smith MM, Russell AK, Schiavinato A, Little CB (2013). "A hexadecylamide derivative of hyaluronan (HYMOVIS®) has superior beneficial effects on human osteoarthritic chondrocytes and synoviocytes than unmodified hyaluronan". J Inflamm (Lond). 10: 26. doi:10.1186/1476-9255-10-26. PMC 3727958. PMID 23889808.
- ^ Darr A, Calabro A (2008). "Synthesis and characterization of tyramine-based hyaluronan hydrogels". Journal of Materials Science: Materials in Medicine. 20 (1): 33–44. doi:10.1007/s10856-008-3540-0. PMID 18668211. S2CID 46349004.
- ^ Wnek GE, Bowlin GL, eds. (2008). Encyclopedia of Biomaterials and Biomedical Engineering. Informa Healthcare.
- ^ "Method for crosslinking hyaluronic acid using resonant acoustic mixing". Google Patents. 2023-03-29. Retrieved 2024-11-13.
- ^ Genasetti A, Vigetti D, Viola M, Karousou E, Moretto P, Rizzi M, et al. (2008). "Hyaluronan and human endothelial cell behavior". Connect. Tissue Res. 49 (3): 120–123. doi:10.1080/03008200802148462. PMID 18661325. S2CID 28661552.
- ^ Tan T, Yang H (2023). "Inhibition of hyaluronic acid degradation pathway suppresses glioma progression by inducing apoptosis and cell cycle arrest". Cancer Cell International. 23 163. doi:10.1186/s12935-023-02998-4. PMC 10422813.
- ^ Higgins M (Nov 26, 2023). "How is Hyaluronic Acid Related to Tumor Development?". Stanford Chemicals. Retrieved Sep 15, 2024.
- ^ Wu R, Huang L (2016). "Hyaluronic acid in digestive cancers". Journal of Cancer Research and Clinical Oncology. 143: 1–16. doi:10.1007/s00432-016-2213-5. PMC 11819425.

