2C (psychedelics)

2C (2C-x) is a general name for the family of psychedelic phenethylamines containing methoxy groups on the 2 and 5 positions of a benzene ring.[1][2][3] Most of these compounds also carry lipophilic substituents at the 4 position, usually resulting in more potent and more metabolically stable and longer acting compounds.[4]
Most of the currently known 2C compounds were first synthesized by Alexander Shulgin in the 1970s and 1980s and published in his book PiHKAL (Phenethylamines i Have Known And Loved).[3] Shulgin also coined the term 2C, being an acronym for the 2 carbon atoms between the benzene ring and the amino group.[5][1][3] 2C-B is the most popular of the 2C drugs.[3]
Use
The 2C drugs are orally active, are used at oral doses of 6 to 150 mg depending on the drug, and have durations of 3 to 48 hours depending on the drug.[1][6][5][7] However, many have doses in the range of 10 to 60 mg and durations in the range of 4 to 12 hours.[1] The 2C drugs produce psychedelic effects.[1][5][8][3] Some, such as 2C-B, have also been reported to have some entactogenic qualities, though findings appear to be mixed.[8][3][9][10]
| Compound | Chemical name | Dosage | Duration | |
|---|---|---|---|---|
| 2C-AL | 4-Allyl-2,5-dimethoxyphenethylamine | Unknown | Unknown | |
| 2C-B | 4-Bromo-2,5-dimethoxyphenethylamine | 10–35 mg | 4–8 hours | |
| 2C-Bu | 4-Butyl-2,5-dimethoxyphenethylamine | Unknown | Unknown | |
| 2C-C | 4-Chloro-2,5-dimethoxyphenethylamine | 20–40 mg | 4–8 hours | |
| 2C-CN | 4-Cyano-2,5-dimethoxyphenethylamine | >22 mg | Unknown | |
| 2C-CP | 4-Cyclopropyl-2,5-dimethoxyphenethylamine | 15–35 mg | 3–6 hours | |
| 2C-D | 4-Methyl-2,5-dimethoxyphenethylamine | 20–60 mg | 4–6 hours | |
| 2C-E | 4-Ethyl-2,5-dimethoxyphenethylamine | 10–25 mg | 6–12 hours | |
| 2C-EF | 4-Fluoroethyl-2,5-dimethoxyphenethylamine | 10–25 mg | Unknown | |
| 2C-F | 4-Fluoro-2,5-dimethoxyphenethylamine | ≥250 mg | Unknown | |
| 2C-G | 3,4-Dimethyl-2,5-dimethoxyphenethylamine | 20–35 mg | 18–30 hours | |
| 2C-G-3 | 3,4-Trimethylene-2,5-dimethoxyphenethylamine | 16–25 mg | 12–24 hours | |
| 2C-G-5 | 3,4-Norbornyl-2,5-dimethoxyphenethylamine | 10–16 mg | 32–48 hours | |
| 2C-H | 2,5-Dimethoxyphenethylamine | Unknown | Unknown | |
| 2C-I | 4-Iodo-2,5-dimethoxyphenethylamine | 14–22 mg | 6–10 hours | |
| 2C-iBu | 4-Isobutyl-2,5-dimethoxyphenethylamine | ≥5 mg | ~20 hours | |
| 2C-iP | 4-Isopropyl-2,5-dimethoxyphenethylamine | 8–25 mg | 8–12 hours | |
| 2C-N | 4-Nitro-2,5-dimethoxyphenethylamine | 100–150 mg | 4–6 hours | |
| 2C-O | 4-Methoxy-2,5-dimethoxyphenethylamine | Unknown | Unknown | |
| 2C-O-4 | 4-Isopropoxy-2,5-dimethoxyphenethylamine | >60 mg | Unknown | |
| 2C-O-22 | 4-(2,2,2-Trifluoroethoxy)-2,5-dimethoxyphenethylamine | ≥57 mg | Unknown | |
| 2C-P | 4-Propyl-2,5-dimethoxyphenethylamine | 6–10 mg | 5–16 hours | |
| 2C-Ph (2C-BI-1) | 4-Phenyl-2,5-dimethoxyphenethylamine | Unknown | Unknown | |
| 2C-SE | 4-Methylseleno-2,5-dimethoxyphenethylamine | ~100 mg | 6–8 hours | |
| 2C-T (2C-T-1) | 4-Methylthio-2,5-dimethoxyphenethylamine | 60–100 mg | 3–5 hours | |
| 2C-T-2 | 4-Ethylthio-2,5-dimethoxyphenethylamine | 12–25 mg | 6–8 hours | |
| 2C-T-3 (2C-T-20) | 4-Methallylthio-2,5-dimethoxyphenethylamine | 15–40 mg | 8–14 hours | |
| 2C-T-4 | 4-Isopropylthio-2,5-dimethoxyphenethylamine | 8–20 mg | 12–18 hours | |
| 2C-T-7 | 4-Propylthio-2,5-dimethoxyphenethylamine | 10–30 mg | 8–15 hours | |
| 2C-T-8 | 4-Cyclopropylmethylthio-2,5-dimethoxyphenethylamine | 30–50 mg | 10–15 hours | |
| 2C-T-9 | 4-tert-Butylthio-2,5-dimethoxyphenethylamine | 60–100 mg | 12–18 hours | |
| 2C-T-13 | 4-(2-Methoxyethylthio)-2,5-dimethoxyphenethylamine | 25–40 mg | 6–8 hours | |
| 2C-T-15 | 4-Cyclopropylthio-2,5-dimethoxyphenethylamine | >30 mg | Several hours | |
| 2C-T-16 | 4-Allylthio-2,5-dimethoxyphenethylamine | 10–25 mg | 4–6 hours | |
| 2C-T-17 | 4-sec-Butylthio-2,5-dimethoxyphenethylamine | 60–100 mg | 10–15 hours | |
| 2C-T-19 | 4-Butylthio-2,5-dimethoxyphenethylamine | Unknown | Unknown | |
| 2C-T-21 | 4-(2-Fluoroethylthio)-2,5-dimethoxyphenethylamine | 8–20 mg | 7–10 hours | |
| 2C-T-21.5 | 4-(2,2-Difluoroethylthio)-2,5-dimethoxyphenethylamine | 12–30 mg | 8–14 hours | |
| 2C-T-22 | 4-(2,2,2-Trifluoroethylthio)-2,5-dimethoxyphenethylamine | Unknown | Unknown | |
| 2C-T-25 | 4-Isobutylthio-2,5-dimethoxyphenethylamine | >30 mg | Unknown | |
| 2C-T-27 | 4-Benzylthio-2,5-dimethoxyphenethylamine | ≥80 mg | Unknown | |
| 2C-T-28 | 4-(3-Fluoropropylthio)-2,5-dimethoxyphenethylamine | 8–20 mg | 8–10 hours | |
| 2C-T-30 | 4-(4-Fluorobutylthio)-2,5-dimethoxyphenethylamine | Unknown | Unknown | |
| 2C-T-33 | 4-(3-Methoxybenzylthio)-2,5-dimethoxyphenethylamine | Unknown | Unknown | |
| 2C-T-36 (2C-T-TFM) | 4-Trifluoromethylthio-2,5-dimethoxyphenethylamine | Unknown | Unknown | |
| 2C-tBu | 4-tert-Butyl-2,5-dimethoxyphenethylamine | >5–10 mg | Unknown | |
| 2C-TFE | 4-(2,2,2-Trifluoroethyl)-2,5-dimethoxyphenethylamine | 5–15 mg | 12–24 hours | |
| 2C-TFM | 4-Trifluoromethyl-2,5-dimethoxyphenethylamine | 3–6 mg | ≥5–10 hours | |
| 2C-V | 4-Ethenyl-2,5-dimethoxyphenethylamine | ~25 mg | ~5 hours | |
| 2C-YN | 4-Ethynyl-2,5-dimethoxyphenethylamine | ~50 mg | ~2 hours | |
| Refs: [1][6][3][7][5][2][11][12][13][4] | ||||
Interactions
The 2C drugs are metabolized by the monoamine oxidase (MAO) enzymes, including both MAO-A and MAO-B.[1][14] As a result, they may be potentiated by monoamine oxidase inhibitors (MAOIs), such as phenelzine, tranylcypromine, moclobemide, and selegiline.[1][14][15] This may lead to overdose and serious toxicity.[1][14][15]
Pharmacology
Pharmacodynamics
Actions
The 2C drugs act as agonists of the serotonin 5-HT2 receptors, including of the serotonin 5-HT2A, 5-HT2B, and 5-HT2C receptors.[16][17][18][19][20] They are partial agonists of the serotonin 5-HT2A receptor.[16][17] Most of the 2C drugs have much lower affinity for the serotonin 5-HT1A receptor than for the serotonin 5-HT2A receptor.[16][17][18][19] Most of the 2C drugs have also shown about 5- to 15-fold higher affinity for the serotonin 5-HT2A receptor over the serotonin 5-HT2C receptor and about 15- to 100-fold higher affinity for the serotonin 5-HT2A receptor over the serotonin 5-HT1A receptor.[17] The psychedelic effects of the 2C drugs are thought to be mediated specifically by activation of the serotonin 5-HT2A receptor.[16][18][20]
Unlike many other phenethylamines, 2C drugs, including 2C-C, 2C-D, 2C-E, 2C-I, and 2C-T-2 among others, are inactive as monoamine releasing agents and reuptake inhibitors.[16][21][18][17][20] Most of the 2C drugs are agonists of the rat and mouse trace amine-associated receptor 1 (TAAR1).[16][22][23][17] However, most are inactive as agonists of the human TAAR1.[16][22][23][17] The 2C drugs show very weak monoamine oxidase inhibition, including of monoamine oxidase A (MAO-A) and/or monoamine oxidase B (MAO-B).[16]
| Drug | 5-HT1A | 5-HT1B | 5-HT2A | 5-HT2B | 5-HT2C | ||||||||
|---|---|---|---|---|---|---|---|---|---|---|---|---|---|
| Ki (nM) | EC50 (nM) | Emax (%) | Ki (nM) | Ki (nM) | EC50 (nM) | Emax (%) | Ki (nM) | EC50 (nM) | Emax (%) | Ki (nM) | EC50 (nM) | Emax (%) | |
| 2C-B | 130–311 | ND | ND | 104.4 | 6.9–27.6 | 1.89–80 | 5–99% | 13.5 | 75–130 | 52–89% | 43–89.5 | 0.031–0.264 | 104–116% |
| 2C-C | 190–740 | >10,000 | <25% | 252.9 | 5.47–13 | 9.27–200 | 49–102% | ND | 280 | 81% | 5.4–90 | 24.2 | 94% |
| 2C-D | 440–1,630 | >10,000 | <25% | ND | 23.9–32.4 | 43.5–350 | 41–125% | ND | 230 | 77% | 12.7–150 | 71.1 | 100% |
| 2C-E | 307.3–1,190 | >10,000 | <25% | ND | 4.50–43.9 | 2.5–110 | 40–125% | 25.1 | 190 | 66% | 5.4–104.1 | 0.233–18.0 | 98–106% |
| 2C-H | 70 | ND | ND | ND | 1,600 | 2,408–9,400 | 28–67% | ND | 6,200 | 46% | 4,100 | ND | ND |
| 2C-I | 180–970 | 4,900 | 102% | ND | 3.5–9.3 | 3.83–60 | 15–82% | ND | 150 | 70% | 10.2–40 | 2.8 | 79–100% |
| 2C-N | 2,200 | ND | ND | ND | 23.5 | 170 | 20–48% | ND | 730 | 74% | 370 | ND | 40–50% |
| 2C-P | 110 | ND | ND | ND | 8.1 | 90 | 63% | ND | 130 | 72% | 40 | ND | ND |
| 2C-T-1 | 1,035 | ND | ND | ND | 49 | 2.0 | 75% | ND | 57 | 58% | 347 | ND | ND |
| 2C-T-2 | 370–1,740 | 3,000 | 76% | 857.5 | 9–39.9 | 0.354–80 | 67–128% | 6 | 130 | 75% | 14.2–69 | 0.0233–3.8 | 87–107% |
| 2C-T-4 | 470–916 | ND | ND | ND | 27.9–54 | 5.5–220 | 56–87% | ND | 63–160 | 68–75% | 180–295 | ND | ND |
| 2C-T-7 | 520–878 | ND | ND | ND | 5.3–6.5 | 1.2–130 | 49–101% | ND | 52–350 | 45–75% | 39–54 | ND | ND |
| Notes: The smaller the value, the more avidly the drug binds to or activates the site. Refs: [17][18][19][16][24][25][26][27] | |||||||||||||
Effects
In accordance with their psychedelic effects in humans, the 2C drugs produce the head-twitch response and wet dog shakes, behavioral proxies of psychedelic effects, in rodents.[16] At least some 2C drugs, such as 2C-D and 2C-E, produce hyperlocomotion at lower doses in rodents.[16] All 2C drugs produce hypolocomotion at higher doses in rodents.[16] 2C drugs, including 2C-C, 2C-D, 2C-E, and 2C-I, substitute partially to fully for psychedelics like DOM, DMT, and LSD and/or for the entactogen MDMA in rodent drug discrimination tests.[16][18] However, none of the assessed 2C drugs substituted for dextromethamphetamine, suggesting that they lack amphetamine-type or stimulant-like effects.[16][18]
In contrast to most psychedelics, at least two assessed 2C drugs, 2C-C and 2C-P, have shown reinforcing effects in rodents, including conditioned place preference (CPP) and self-administration.[16][28] The mechanism by which these effects are mediated is unknown.[16] However, it may be related to reduced expression of the dopamine transporter (DAT) and increased DAT phosphorylation, in turn resulting in increased extracellular dopamine levels in certain brain areas.[16][28] These 2C drugs might have misuse potential in humans.[16][28] Similar reinforcing effects in animals have been observed for NBOMe analogues of 2C drugs, including 25B-NBOMe, 25D-NBOMe, 25E-NBOMe, 25H-NBOMe, and 25N-NBOMe.[16][29][30][31][32][33][34]
Similarly to DOI, tolerance has been found to gradually develop to the head-twitch response induced by 2C-T-7 with chronic administration in rodents.[16]
Various 2C drugs show potent anti-inflammatory effects mediated by serotonin 5-HT2A receptor activation.[35] Among these include 2C-I, 2C-B, 2C-H, and 2C-iBu.[35][36] Others, such as 2C-B-Fly and 2C-T-33, were less effective.[35] 2C-iBu has shown a greater separation between anti-inflammatory effects and psychedelic-like effects in animals than other 2C drugs and is being investigated for possible use as a pharmaceutical drug.[36][37]
Pharmacokinetics
The 2C drugs are orally active.[1] They are metabolized by O-demethylation and deamination.[1][14] This is mediated specifically by monoamine oxidase (MAO) enzymes MAO-A and MAO-B, whereas cytochrome P450 enzymes appear to metabolize only some 2C drugs and to have only a very small role.[14]
History
2,4,5-Trimethoxyphenethylamine (2,4,5-TMPEA; 2C-O or "2C-MeO") was first synthesized by Jansen and was found to produce psychedelic effects similar to those of mescaline (3,4,5-trimethoxyphenethylamine).[38][39] He published his findings in 1931.[38][39] However, subsequent studies in the 1960s and 1970s suggested that 2,4,5-TMPEA may actually be inactive as a psychedelic in animals and humans.[38]
2C-D (2C-M) was the first of the 2C drugs besides 2C-O to be discovered.[2][40][41][42] It was synthesized and studied in animals by Ho and colleagues and they published their findings in 1970.[2][40][41][42] Alexander Shulgin synthesized 2C-B and 2C-D in 1974 and discovered their psychedelic effects in self-experiments conducted in 1974 and 1975.[1][43][2][40][44] He published his findings in the scientific literature in 1975.[1][43][2][40][44] 2C-T was first described by Shulgin and David E. Nichols in 1976.[45] 2C-I was first described by Shulgin and colleagues in 1977 and initial psychoactivity was reported by Shulgin in 1978.[38][46] Shulgin also first synthesized 2C-E in 1977.[47][48] He reviewed several of these 2C drugs in 1979.[49] Subsequently, numerous other 2C drugs have been synthesized and characterized.[5][6][2][1][43]
2C-B gained popularity as a recreational drug and MDMA alternative in the mid-1980s and became a controlled substance in the United States in 1994.[1][3] It is said to be the most popular of the 2C drugs.[3]
Society and culture
Legal status
Canada
As of October 12, 2016, the 2C-x family of substituted phenethylamines is a controlled substance (Schedule III) in Canada.[50]
List of 2C drugs
| Name | R3 | R4 | Structure | CAS # |
|---|---|---|---|---|
| 2C-B | H | Br |
|
66142–81–2 |
| 2C-Bn | H | CH2C6H5 |
|
|
| 2C-Bu | H | CH2CH2CH2CH3 |
|
|
| 2C-C | H | Cl |
|
88441–14–9 |
| 2C-C-3 [51] | Cl | Cl |
|
|
| 2C-CN | H | C≡N |
|
88441–07–0 |
| 2C-D | H | CH3 |
|
24333–19–5 |
| 2C-E | H | CH2CH3 |
|
71539–34–9 |
| 2C-EF | H | CH2CH2F |
|
1222814–77–8 |
| 2C-F | H | F |
|
207740–15–6 |
| 2C-G | CH3 | CH3 |
|
207740–18–9 |
| 2C-G-1 | CH2 |
|
||
| 2C-G-2 | (CH2)2 |
|
||
| 2C-G-3 | (CH2)3 |
|
207740–19–0 | |
| 2C-G-4 | (CH2)4 |
|
952006–59–6 | |
| 2C-G-5 | (CH2)5 |
|
207740–20–3 | |
| 2C-G-6 | (CH2)6 |
|
||
| 2C-G-N | (CH)4 |
|
207740–21–4 | |
| 2C-H | H | H |
|
3600–86–0 |
| 2C-I | H | I |
|
69587–11–7 |
| 2C-iBu | H | iBu |
|
|
| 2C-iP | H | CH(CH3)2 |
|
1498978–47–4 |
| 2C-tBu | H | C(CH3)3 |
|
|
| 2C-CP | H | C3H5 |
|
2888537–46–8 |
| 2C-CPE | H | C5H9 |
|
|
| 2C-N | H | NO2 |
|
261789–00–8 |
| 2C-NH2 | H | NH2 |
|
168699–66–9 |
| 2C-PYR | H | Pyrrolidine |
|
|
| 2C-PIP | H | Piperidine |
|
|
| 2C-O | H | OCH3 |
|
15394–83–9 |
| 2C-O-4 | H | OCH(CH3)2 |
|
952006–65–4 |
| 2C-MOM [52] | H | CH2OCH3 |
|
|
| 2C-P | H | CH2CH2CH3 |
|
207740–22–5 |
| 2C-Ph (2C-BI-1) | H | C6H5 |
|
|
| 2C-Se | H | Se CH3 |
|
1189246–68–1 |
| 2C-T | H | SCH3 |
|
61638–09–3 |
| 2C-T-2 | H | SCH2CH3 |
|
207740–24–7 |
| 2C-T-3[53] | H | SCH2C(=CH2)CH3 |
|
648957–40–8 |
| 2C-T-4 | H | SCH(CH3)2 |
|
207740–25–8 |
| 2C-T-5[53] |
|
|||
| 2C-T-6[53] |
|
|||
| 2C-T-7 | H | S(CH2)2CH3 |
|
207740–26–9 |
| 2C-T-8 | H | SCH2CH(CH2)2 |
|
207740–27–0 |
| 2C-T-9[53] |
|
207740–28–1 | ||
| 2C-T-10[53] |
|
|||
| 2C-T-11[53] |
|
|||
| 2C-T-12[53] |
|
|||
| 2C-T-13 | H | S(CH2)2OCH3 |
|
207740–30–5 |
| 2C-T-14[53] |
|
|||
| 2C-T-15 | H | SCH(CH2)2 |
|
|
| 2C-T-16[54] | H | SCH2CH=CH2 |
|
648957–42–0 |
| 2C-T-17 | H | SCH(CH3)CH2CH3 |
|
207740–32–7 |
| 2C-T-18[53] |
|
|||
| 2C-T-19 | H | SCH2CH2CH2CH3 |
|
|
| 2C-T-21 | H | S(CH2)2F |
|
207740–33–8 |
| 2C-T-21.5[53] |
|
648957–46–4 | ||
| 2C-T-22[53] |
|
648957–48–6 | ||
| 2C-T-23[53] |
|
|||
| 2C-T-24[53] |
|
|||
| 2C-T-25[53] |
|
|||
| 2C-T-27[53] |
|
648957–52–2 | ||
| 2C-T-28[53] |
|
648957–54–4 | ||
| 2C-T-30[53] |
|
|||
| 2C-T-31[53] |
|
|||
| 2C-T-32[53] |
|
|||
| 2C-T-33[53] |
|
|||
| 2C-T-DFM | H | SCF2H |
|
|
| CYB210010 (2C-T-TFM)[55] | H | SCF3 |
|
|
| 2C-T-DFP | H | SCH2CH2CF2H |
|
|
| 2C-T-PARGY | H | SCH2C≡CH |
|
|
| 2C-DFM [4]: 770 | H | CHF2 |
|
|
| 2C-TFM | H | CF3 |
|
159277–08–4 |
| 2C-TFE | H | CH2CF3 |
|
|
| 2C-PFE | H | CF2CF3 |
|
|
| 2C-PFS | H | SF5 |
|
|
| 2C-YN | H | C≡CH |
|
752982–24–4 |
| 2C-V | H | CH=CH2 |
|
|
| 2C-AL[56] | H | CH2CH=CH2 |
|
|
Related compounds
| Name | Chemical name | Structure | Ref |
|---|---|---|---|
| N-Methyl-2C-B | N-Methyl-4-bromo-2,5-dimethoxyphenethylamine |
|
|
| N-Ethyl-2C-B | N-Ethyl-4-bromo-2,5-dimethoxyphenethylamine |
|
|
| 25B-NB (N-benzyl-2C-B) | N-Benzyl-4-bromo-2,5-dimethoxyphenethylamine |
|
|
| N-Methyl-2C-I | N-Methyl-4-iodo-2,5-dimethoxyphenethylamine |
|
|
| β-Methyl-2C-B | 4-Bromo-2,5-dimethoxy-β-methylphenylethylamine |
|
|
| β-Keto-2C-B (βk-2C-B) | 4-Bromo-2,5-dimethoxy-β-ketophenylethylamine |
|
|
| 25D-NM-NDEAOP (25D-NM-NDEPA) | N-Methyl-N-(3-diethylamino-3-oxopropyl)-2,5-dimethoxy-4-methylphenethylamine | ||
| 25B-NAcPip | N-(Piperidin-1-ylcarbonylmethyl)-4-bromo-2,5-dimethoxyphenethylamine |
|
|
| XOB | N-[(4-Phenylbutoxy)hexyl]-4-bromo-2,5-dimethoxyphenethylamine | [57] | |
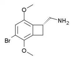
| TCB-2 | [(7R)-3-Bromo-2,5-dimethoxy-bicyclo[4.2.0]octa-1,3,5-trien-7-yl]methanamine |
|
|
| 2CB-Ind | (5-Bromo-4,7-dimethoxy-2,3-dihydro-1H-inden-1-yl)methanamine |
|
|
| ZC-B | 3-(4-Bromo-2,5-dimethoxyphenyl)azetidine |
|
|
| 2C-B-PYR | 3-(4-Bromo-2,5-dimethoxyphenyl)pyrrolidine |
|
|
| LPH-5 | (S)-3-(2,5-Dimethoxy-4-(trifluoromethyl)phenyl)piperidine |
|
|
| DEMPDHPCA-2C-D ("compound 45") | 1-Methyl-3-(1-oxo-1-diethylaminomethyl)-5-(2,5-dimethoxy-4-methylphenyl)-3,6-dihydro-2H-pyridine |
|
[58] |
| DOM-CR (DOM-THIQ, 2C-D-CR) | 5,8-Dimethoxy-7-methyl-1,2,3,4-tetrahydroisoquinoline |
|
|
| DOB-CR (DOB-THIQ, 2C-B-CR) | 5,8-Dimethoxy-7-bromo-1,2,3,4-tetrahydroisoquinoline |
|
|
| N-Methyl-DOM-CR (Beatrice-CR, N-methyl-2C-D-CR) | 2,7-Dimethyl-5,8-dimethoxy-1,2,3,4-tetrahydroisoquinoline |
|
|
| 2C-B-morpholine | 2-(4-Bromo-2,5-dimethoxyphenyl)morpholine |
|
[59][60] |
| 2C-B-aminorex | 5-(4-Bromo-2,5-dimethoxyphenyl)-4,5-dihydro-1,3-oxazol-2-amine |
|
|
| 2C-B-PP | 1-(2,5-Dimethoxy-4-bromophenyl)piperazine |
|
|
| 2C-B-BZP | 1-[(4-Bromo-2,5-dimethoxyphenyl)methyl]piperazine |
|
|
| 2C-B-5-hemiFLY-α6 | 8-Bromo-6-methoxy-2a,3,4,5-tetrahydro-2H-naphtho[1,8-bc]furan-4-amine |
|
See also
- 25-NB, scaline, 3C, DOx, 4C, Ψ-PEA, FLY
- List of miscellaneous 5-HT2A receptor agonists
- The Shulgin Index
- Substituted amphetamines
- Substituted methoxyphenethylamine
- Substituted methylenedioxyphenethylamines
- Substituted phenethylamines
- Substituted tryptamines
References
- ^ a b c d e f g h i j k l m n o Dean BV, Stellpflug SJ, Burnett AM, Engebretsen KM (June 2013). "2C or not 2C: phenethylamine designer drug review". J Med Toxicol. 9 (2): 172–178. doi:10.1007/s13181-013-0295-x. PMC 3657019. PMID 23494844.
In 1974, 4-bromo-2,5-dimethoxyphenethylamine (2C-B), the first of the 2Cs, was synthesized by Alexander Shulgin as he was exploring homologs from 2,5-dimethoxy-4-bromoamphetamine [3]. 2C-B was manufactured in the 1980s and early 1990s under the names Nexus, Erox, Performax, Toonies, Bromo, Spectrum, and Venus and marketed as MDMA's replacement after MDMA became scheduled in the USA [6, 7]. 2C-B was initially intended for psychotherapy use due to its short 1-h duration of action [3]. Due to 2C-B's significant gastrointestinal effects and lack of empathogenic effects as compared to MDMA, it rapidly fell out of favor for psychotherapy. In 1995, 2C-B was placed on Schedule I of the Controlled Substances Act by the Drug Enforcement Agency (DEA) [6, 7]. However, following the scheduling of 2C-B, other 2C analogues were made available by suppliers as legal alternatives [8].
- ^ a b c d e f g Shulgin, A.; Manning, T.; Daley, P.F. (2011). The Shulgin Index, Volume One: Psychedelic Phenethylamines and Related Compounds. Vol. 1. Berkeley: Transform Press. ISBN 978-0-9630096-3-0. Retrieved 2 November 2024.
- ^ a b c d e f g h i Wills B, Erickson T (9 March 2012). "Psychoactive Phenethylamine, Piperazine, and Pyrrolidinophenone Derivatives". In Barceloux DG (ed.). Medical Toxicology of Drug Abuse: Synthesized Chemicals and Psychoactive Plants. Wiley. pp. 156–192. doi:10.1002/9781118105955.ch10. ISBN 978-0-471-72760-6.
DOSE EFFECT: Anecdotal data suggests that recreational doses of 2C-B range from 4—30 mg with lower doses (4—10 mg) producing entactogenic effects, whereas high doses (10— 20 mg) cause psychedelic and sympathomimetic effects.
- ^ a b c Trachsel, D.; Lehmann, D.; Enzensperger, C. (2013). "8.5.3. 4-Alkyl-2,5-dimethoxyphenethylamine (2C-R- oder 2C-Alkylderivate)". Phenethylamine: von der Struktur zur Funktion [Phenethylamines: From Structure to Function]. Nachtschatten-Science (in German) (1 ed.). Solothurn: Nachtschatten-Verlag. pp. 763–771. ISBN 978-3-03788-700-4. OCLC 858805226.
- ^ a b c d e Shulgin, Alexander; Shulgin, Ann (September 1991). PiHKAL: A Chemical Love Story. Berkeley, California: Transform Press. ISBN 0-9630096-0-5. OCLC 25627628.
- ^ a b c Jacob P, Shulgin AT (1994). "Structure-activity relationships of the classic hallucinogens and their analogs" (PDF). NIDA Res Monogr. 146: 74–91. PMID 8742795. Archived from the original (PDF) on August 5, 2023.
- ^ a b Ballentine G, Friedman SF, Bzdok D (March 2022). "Trips and neurotransmitters: Discovering principled patterns across 6850 hallucinogenic experiences". Sci Adv. 8 (11): eabl6989. Bibcode:2022SciA....8L6989B. doi:10.1126/sciadv.abl6989. PMC 8926331. PMID 35294242.
- ^ a b Luethi D, Liechti ME (April 2020). "Designer drugs: mechanism of action and adverse effects". Arch Toxicol. 94 (4): 1085–1133. Bibcode:2020ArTox..94.1085L. doi:10.1007/s00204-020-02693-7. PMC 7225206. PMID 32249347.
In one of the few clinical studies of a designer drug, 4-bromo-2,5-dimethoxyphenylethylamine (2C-B) was shown to induce euphoria, well-being, and changes in perception, and to have mild stimulant properties (Gonzalez et al. 2015). 2C-B may thus be classified as a psychedelic with entactogenic properties, an effect profile that is similar to various other phenethylamine psychedelics (Shulgin and Shulgin 1995).
- ^ González D, Torrens M, Farré M (2015). "Acute Effects of the Novel Psychoactive Drug 2C-B on Emotions". Biomed Res Int. 2015: 643878. doi:10.1155/2015/643878. PMC 4620274. PMID 26543863.
- ^ Mallaroni P, Mason NL, Reckweg JT, Paci R, Ritscher S, Toennes SW, Theunissen EL, Kuypers KP, Ramaekers JG (August 2023). "Assessment of the Acute Effects of 2C-B vs. Psilocybin on Subjective Experience, Mood, and Cognition". Clin Pharmacol Ther. 114 (2): 423–433. doi:10.1002/cpt.2958. PMID 37253161.
- ^ Luethi D, Liechti ME (October 2018). "Monoamine Transporter and Receptor Interaction Profiles in Vitro Predict Reported Human Doses of Novel Psychoactive Stimulants and Psychedelics". Int J Neuropsychopharmacol. 21 (10): 926–931. doi:10.1093/ijnp/pyy047. PMC 6165951. PMID 29850881.
- ^ Halberstadt AL, Chatha M, Klein AK, Wallach J, Brandt SD (May 2020). "Correlation between the potency of hallucinogens in the mouse head-twitch response assay and their behavioral and subjective effects in other species" (PDF). Neuropharmacology. 167: 107933. doi:10.1016/j.neuropharm.2019.107933. PMC 9191653. PMID 31917152.
Table 4 Human potency data for selected hallucinogens. [...]
- ^ Trachsel D (2012). "Fluorine in psychedelic phenethylamines". Drug Test Anal. 4 (7–8): 577–590. doi:10.1002/dta.413. PMID 22374819.
- ^ a b c d e Theobald DS, Maurer HH (January 2007). "Identification of monoamine oxidase and cytochrome P450 isoenzymes involved in the deamination of phenethylamine-derived designer drugs (2C-series)". Biochem Pharmacol. 73 (2): 287–297. doi:10.1016/j.bcp.2006.09.022. PMID 17067556.
- ^ a b Halman A, Kong G, Sarris J, Perkins D (January 2024). "Drug-drug interactions involving classic psychedelics: A systematic review". J Psychopharmacol. 38 (1): 3–18. doi:10.1177/02698811231211219. PMC 10851641. PMID 37982394.
- ^ a b c d e f g h i j k l m n o p q r s t Gil-Martins E, Barbosa DJ, Borges F, Remião F, Silva R (June 2025). "Toxicodynamic insights of 2C and NBOMe drugs - Is there abuse potential?". Toxicol Rep. 14: 101890. Bibcode:2025ToxR...1401890G. doi:10.1016/j.toxrep.2025.101890. PMC 11762925. PMID 39867514.
- ^ a b c d e f g h Rickli A, Luethi D, Reinisch J, Buchy D, Hoener MC, Liechti ME (December 2015). "Receptor interaction profiles of novel N-2-methoxybenzyl (NBOMe) derivatives of 2,5-dimethoxy-substituted phenethylamines (2C drugs)" (PDF). Neuropharmacology. 99: 546–553. doi:10.1016/j.neuropharm.2015.08.034. PMID 26318099.
- ^ a b c d e f g Eshleman AJ, Forster MJ, Wolfrum KM, Johnson RA, Janowsky A, Gatch MB (March 2014). "Behavioral and neurochemical pharmacology of six psychoactive substituted phenethylamines: mouse locomotion, rat drug discrimination and in vitro receptor and transporter binding and function". Psychopharmacology (Berl). 231 (5): 875–888. doi:10.1007/s00213-013-3303-6. PMC 3945162. PMID 24142203.
- ^ a b c Ray TS (February 2010). "Psychedelics and the human receptorome". PLOS ONE. 5 (2): e9019. Bibcode:2010PLoSO...5.9019R. doi:10.1371/journal.pone.0009019. PMC 2814854. PMID 20126400.
- ^ a b c Varì, M. Rosaria; Pichini, Simona; Giorgetti, Raffaele; Busardò, Francesco P. (2019). "New psychoactive substances—Synthetic stimulants". WIREs Forensic Science. 1 (2). doi:10.1002/wfs2.1197. ISSN 2573-9468.
- ^ Nagai F, Nonaka R, Satoh Hisashi Kamimura K (March 2007). "The effects of non-medically used psychoactive drugs on monoamine neurotransmission in rat brain". European Journal of Pharmacology. 559 (2–3): 132–137. doi:10.1016/j.ejphar.2006.11.075. PMID 17223101.
- ^ a b Gainetdinov RR, Hoener MC, Berry MD (July 2018). "Trace Amines and Their Receptors". Pharmacol Rev. 70 (3): 549–620. doi:10.1124/pr.117.015305. PMID 29941461.
- ^ a b Simmler LD, Buchy D, Chaboz S, Hoener MC, Liechti ME (April 2016). "In Vitro Characterization of Psychoactive Substances at Rat, Mouse, and Human Trace Amine-Associated Receptor 1" (PDF). J Pharmacol Exp Ther. 357 (1): 134–144. doi:10.1124/jpet.115.229765. PMID 26791601. Archived from the original (PDF) on 2025-05-09.
- ^ Rudin D, Luethi D, Hoener MC, Liechti ME (2022). "Structure-activity Relation of Halogenated 2,5-Dimethoxyamphetamines Compared to their α‑Desmethyl (2C) Analogues". The FASEB Journal. 36 (S1). doi:10.1096/fasebj.2022.36.S1.R2121. ISSN 0892-6638.
- ^ Pottie E, Cannaert A, Stove CP (October 2020). "In vitro structure-activity relationship determination of 30 psychedelic new psychoactive substances by means of β-arrestin 2 recruitment to the serotonin 2A receptor". Arch Toxicol. 94 (10): 3449–3460. Bibcode:2020ArTox..94.3449P. doi:10.1007/s00204-020-02836-w. hdl:1854/LU-8687071. PMID 32627074.
- ^ Luethi D, Trachsel D, Hoener MC, Liechti ME (May 2018). "Monoamine receptor interaction profiles of 4-thio-substituted phenethylamines (2C-T drugs)" (PDF). Neuropharmacology. 134 (Pt A): 141–148. doi:10.1016/j.neuropharm.2017.07.012. PMID 28720478.
- ^ Halberstadt AL, Luethi D, Hoener MC, Trachsel D, Brandt SD, Liechti ME (January 2023). "Use of the head-twitch response to investigate the structure-activity relationships of 4-thio-substituted 2,5-dimethoxyphenylalkylamines" (PDF). Psychopharmacology (Berl). 240 (1): 115–126. doi:10.1007/s00213-022-06279-2. PMC 9816194. PMID 36477925.
- ^ a b c Kim YJ, Ma SX, Hur KH, Lee Y, Ko YH, Lee BR, Kim SK, Sung SJ, Kim KM, Kim HC, Lee SY, Jang CG (April 2021). "New designer phenethylamines 2C-C and 2C-P have abuse potential and induce neurotoxicity in rodents". Arch Toxicol. 95 (4): 1413–1429. Bibcode:2021ArTox..95.1413K. doi:10.1007/s00204-021-02980-x. PMID 33515270.
- ^ Zawilska JB, Kacela M, Adamowicz P (2020). "NBOMes-Highly Potent and Toxic Alternatives of LSD". Front Neurosci. 14: 78. doi:10.3389/fnins.2020.00078. PMC 7054380. PMID 32174803.
- ^ Custodio RJ, Sayson LV, Botanas CJ, Abiero A, You KY, Kim M, Lee HJ, Yoo SY, Lee KW, Lee YS, Seo JW, Ryu IS, Kim HJ, Cheong JH (November 2020). "25B-NBOMe, a novel N-2-methoxybenzyl-phenethylamine (NBOMe) derivative, may induce rewarding and reinforcing effects via a dopaminergic mechanism: Evidence of abuse potential". Addict Biol. 25 (6): e12850. doi:10.1111/adb.12850. PMID 31749223.
- ^ Seo JY, Hur KH, Ko YH, Kim K, Lee BR, Kim YJ, Kim SK, Kim SE, Lee YS, Kim HC, Lee SY, Jang CG (October 2019). "A novel designer drug, 25N-NBOMe, exhibits abuse potential via the dopaminergic system in rodents". Brain Res Bull. 152: 19–26. doi:10.1016/j.brainresbull.2019.07.002. PMID 31279579.
- ^ Jo C, Joo H, Youn DH, Kim JM, Hong YK, Lim NY, Kim KS, Park SJ, Choi SO (November 2022). "Rewarding and Reinforcing Effects of 25H-NBOMe in Rodents". Brain Sci. 12 (11): 1490. doi:10.3390/brainsci12111490. PMC 9688077. PMID 36358416.
- ^ Lee JG, Hur KH, Hwang SB, Lee S, Lee SY, Jang CG (August 2023). "Designer Drug, 25D-NBOMe, Has Reinforcing and Rewarding Effects through Change of a Dopaminergic Neurochemical System". ACS Chem Neurosci. 14 (15): 2658–2666. doi:10.1021/acschemneuro.3c00196. PMID 37463338.
- ^ Kim YJ, Kook WA, Ma SX, Lee BR, Ko YH, Kim SK, Lee Y, Lee JG, Lee S, Kim KM, Lee SY, Jang CG (April 2024). "The novel psychoactive substance 25E-NBOMe induces reward-related behaviors via dopamine D1 receptor signaling in male rodents". Arch Pharm Res. 47 (4): 360–376. doi:10.1007/s12272-024-01491-4. PMID 38551761.
- ^ a b c Flanagan TW, Billac GB, Landry AN, Sebastian MN, Cormier SA, Nichols CD (April 2021). "Structure-Activity Relationship Analysis of Psychedelics in a Rat Model of Asthma Reveals the Anti-Inflammatory Pharmacophore". ACS Pharmacol Transl Sci. 4 (2): 488–502. doi:10.1021/acsptsci.0c00063. PMC 8033619. PMID 33860179.
- ^ a b WO published 2020210823, Nichols CD, Billac G, Nichols DE, "Compounds and methods for treating inflammatory disorders", published 15 October 2020
- ^ Newvine C (8 July 2020). "Eleusis Draws on Research Into Psychedelics To Develop New Medicines for Inflammation". Lucid News - Psychedelics, Consciousness Technology, and the Future of Wellness. Retrieved 16 February 2025.
- ^ a b c d Shulgin AT (1978). "Psychotomimetic Drugs: Structure-Activity Relationships". In Iversen LL, Iversen SD, Snyder SH (eds.). Stimulants. Boston, MA: Springer US. pp. 243–333. doi:10.1007/978-1-4757-0510-2_6. ISBN 978-1-4757-0512-6.
- ^ a b Jansen, Max. P. J. M. (1931). "β-2: 4: 5-Trimethoxyphenylethylamine, an isomer of mescaline". Recueil des Travaux Chimiques des Pays-Bas. 50 (4): 291–312. doi:10.1002/recl.19310500403. ISSN 0165-0513.
- ^ a b c d Standridge RT, Howell HG, Gylys JA, Partyka RA, Shulgin AT (December 1976). "Phenylakylamines with potential psychotherapeutic utility. 1. 2-Amino-1-(2,5-dimethoxy-4-methylphenyl)butane" (PDF). J Med Chem. 19 (12): 1400–1404. doi:10.1021/jm00234a010. PMID 1003425.
The α-H homologue [2C-D (2a)] has been reported in animal avoidance tests16 to be less active than [DOM (2b)] and substantially stimulant in nature. In human evaluation17 the decrease in potency is confirmed, but the psychopharmacological profile is largely one of sensory enhancement. [...] 2,5-Dimethoxy-4-methylphenethylamine Hydrochloride (2a).23 [...] (23) B. T. Ho, L. W. Tansey, R. L. Bolster, R. An, W. M. McIsaac, and R T. Harris, J. Med. Chem., 13, 134 (1970).
- ^ a b Ho BT, Tansey LW, Balster RL, An R, McIsaac WM, Harris RT (January 1970). "Amphetamine analogs. II. Methylated phenethylamines". J Med Chem. 13 (1): 134–135. doi:10.1021/jm00295a034. PMID 5412084.
- ^ a b Ho BT, Huang JT (December 1970). "Effects of mescaline and 2,5-dimethoxy-4-methylphenethylamine on sleeping time in mice". J Pharm Pharmacol. 22 (12): 949–951. doi:10.1111/j.2042-7158.1970.tb08483.x. PMID 4395524.
- ^ a b c Poulie CB, Jensen AA, Halberstadt AL, Kristensen JL (December 2020). "DARK Classics in Chemical Neuroscience: NBOMes". ACS Chem Neurosci. 11 (23): 3860–3869. doi:10.1021/acschemneuro.9b00528. PMC 9191638. PMID 31657895.
In 1974, Shulgin translated this strategy back to the phenethylamine family with the synthesis of 2,5-dimethoxy-4-bromophenethylamine (2C-B),19 which he found to be a strong hallucinogen in a series of self-experiments conducted during 1974 and 1975 (the drug was described as "beautifully effective").20 During the late 1970s and early 1980s, 2,5-dimethoxy-4-methylphenethylamine (2C-D), another compound from this class, received considerable attention from psychiatrists as a psychotherapeutic adjunct, most notably Hanscarl Leuner, who worked with 2C-D extensively under the code name LE-25 and pioneered the concept of psychedelic therapy.21 However, 2C-B was emergency scheduled by the Drug Enforcement Administration (DEA) in 1994, due to its appearance on the recreational drug market as a replacement for 3,4-methyl enedioxy methamphetamine (MDMA) (which had been scheduled in 1985).
- ^ a b Shulgin AT, Carter MF (1975). "Centrally active phenethylamines". Psychopharmacol Commun. 1 (1): 93–98. PMID 1223994.
- ^ Nichols DE, Shulgin AT (October 1976). "Sulfur Analogs of Psychotomimetic Amines". J Pharm Sci. 65 (10): 1554–1556. doi:10.1002/jps.2600651040. PMID 978423.
- ^ Braun U, Shulgin AT, Braun G, Sargent T (December 1977). "Synthesis and body distribution of several iodine-131 labeled centrally acting drugs" (PDF). J Med Chem. 20 (12): 1543–1546. doi:10.1021/jm00222a001. PMID 592317.
- ^ Darie, Iulia-Florentina; Praisler, Mirela; Negoita, Catalin (12 November 2021). "2C-x and DOx hallucinogens: A systematic review". Annals of the "Dunarea de Jos" University of Galati Fascicle II Mathematics Physics Theoretical Mechanics. 44 (1): 46–52. doi:10.35219/ann-ugal-math-phys-mec.2021.1.07. ISSN 2668-7151. Retrieved 26 January 2025.
- ^ Alexander Shulgin (1980). Pharmacology Notes II (The Shulgin Lab Books) (PDF). Lafayette, CA, USA: Erowid. p. 236.
- ^ Shulgin AT (1979). "Chemistry of phenethylamines related to mescaline". J Psychedelic Drugs. 11 (1–2): 41–52. doi:10.1080/02791072.1979.10472091. PMID 522167.
- ^ "Regulations Amending the Food and Drug Regulations (Part J — 2C-phenethylamines)". Canada Gazette. April 15, 2016. Retrieved August 28, 2016.
- ^ Takahashi M, Nagashima M, Suzuki J, Seto T, Yasuda I, Yoshida T. Creation and application of psychoactive designer drugs data library using liquid chromatography with photodiode array spectrophotometry detector and gas chromatography–mass spectrometry. Talanta, 15 Feb 2009, 77(4): 1245–1272. doi:10.1016/j.talanta.2008.07.062
- ^ Leth-Petersen S, Petersen IN, Jensen AA, Bundgaard C, Bæk M, Kehler J, Kristensen JL. 5-HT2A/5-HT2C receptor pharmacology and intrinsic clearance of N-benzylphenethylamines modified at the primary site of metabolism. ACS Chem. Neurosci., 16 Nov 2016, 7 (11), 1614–1619. doi:10.1021/acschemneuro.6b00265
- ^ a b c d e f g h i j k l m n o p q r s t "Shulgin's Sulfur Symphony – Part I". countyourculture. 15 January 2011. Archived from the original on 19 September 2019. Retrieved 22 October 2017.
- ^ Daniel Trachsel (2003). "Synthesis of novel (phenylalkyl)amines for the investigation of structure-activity relationships. Part 2. 4-Thio-substituted [2-(2,5-dimethoxyphenyl)ethyl]amines (=2,5-dimethoxybenzeneethanamines)". Helvetica Chimica Acta. 86 (7): 2610–2619. doi:10.1002/hlca.200390210.
- ^ Varty GB, Canal CE, Mueller TA, Hartsel JA, Tyagi R, Avery K, Morgan ME, Reichelt AC, Pathare P, Stang E, Palfreyman MG, Nivorozhkin A. Synthesis and Structure-Activity Relationships of 2,5-Dimethoxy-4-Substituted Phenethylamines and the Discovery of CYB210010: A Potent, Orally Bioavailable and Long-Acting Serotonin 5-HT2 Receptor Agonist. J Med Chem. 2024 Apr 25;67(8):6144-6188. doi:10.1021/acs.jmedchem.3c01961 PMID 38593423
- ^ Patentscope. Kruegel AC. Phenalkylamines and Methods of Treating Mood Disorders. Patent WO 2022/006186. Retrieved 2025-05-12
- ^ Denomme N, Hernandez CC, Bock HA, Ohana RF, Bakshi S, Sherwood AM, McCorvy JD, Daley PF, Callaway WB, Hull JM, Alt A, Isom LL, Cozzi NV (July 2024). "N-(4-Bromo-2,5-Dimethoxyphenethyl)-6-(4-Phenylbutoxy)Hexan-1-Amine (XOB): A Novel Phenylalkylamine Antagonist of Serotonin 2A Receptors and Voltage-Gated Sodium Channels" (PDF). Mol Pharmacol. 106 (2): 92–106. doi:10.1124/molpharm.123.000837. PMID 38821630.
- ^ Nichols DE (May 1973). Potential Psychotomimetics: Bromomethoxyamphetamines and Structural Congeners of Lysergic Acid (Thesis). University of Iowa. p. 23. OCLC 1194694085.
- ^ "2C-B-morpholine". Isomer Design. 1 April 2025. Retrieved 1 June 2025.
- ^ Glennon RA, Bondarev ML, Khorana N, Young R, May JA, Hellberg MR, McLaughlin MA, Sharif NA (November 2004). "Beta-oxygenated analogues of the 5-HT2A serotonin receptor agonist 1-(4-bromo-2,5-dimethoxyphenyl)-2-aminopropane". J Med Chem. 47 (24): 6034–6041. doi:10.1021/jm040082s. PMID 15537358. Archived from the original on 2024-05-23.


































































































